Timeline of heavy-baryon semileptonic and radiative decay results

A timeline of selected experimental and lattice-QCD results for Λb, Λc, Ξb, and Ξc semileptonic and radiative decays, 2011-present.

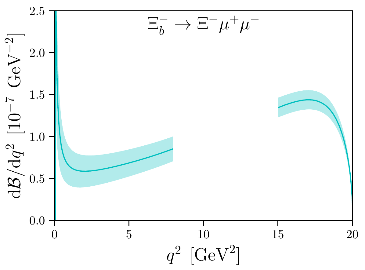
Standard-Model prediction of the Xi_b to Xi mu mu differential branching fraction using form factors from lattice QCD

2026

First lattice-QCD calculation of the Ξb→Ξ form factors. This work also introduces an important methodological advance in lattice calculations of b-baryon decay form factors: the use of dispersive bounds in the chiral-continuum-kinematic extrapolations, which enables controlled uncertainties in the full kinematic range. The predicted Ξb→Ξγ branching fraction is consistent with the 2021 LHCb upper limit.

C. Farrell and S. Meinel, https://arxiv.org/abs/2603.18438

Comparison of lattice QCD predictions for the Xi_c to Xi e nu diferential decay rate

2025

High-precision lattice-QCD calculation of the Ξc→Ξ form factors using domain-wall fermions. The resulting Standard-Model prediction for the Ξc0→Ξ-e+ν branching fraction is a factor 1.5 higher than the previous prediction by Zhang et al., and a factor of 3.4 higher than the experimental value reported by the Particle Data Group, but consistent with approximate SU(3) flavor-symmetry relations to Λc decay branching fractions.

C. Farrell and S. Meinel, https://arxiv.org/abs/2504.07302 (Phys. Rev. D)

BESIII result for the Lambda_c to n e nu branching fraction compared to theory predictions

2024

First observation of the decay Λc→n e+ν by BESIII. The measured branching fraction is consistent with my 2017 SM prediction using lattice-QCD and using |Vcd| from unitarity. The BESIII measurement and lattice calculation together yield the first determination of |Vcd| from a baryon decay.

BESIII Collaboration, https://arxiv.org/abs/2410.13515 (Nature Communications)

Lambda_b to p mu mu limit measured 2024 by LHCb

2024

Higher-sensitivity search for the rare decay Λc→pμ+μ- by LHCb.

LHCb Collaboration, https://arxiv.org/abs/2407.11474 (Phys. Rev. D)

Lambda_b to Lambda(1520) mu mu differential branching fraction measured by LHCb

2023

First measurement of the Λb→Λ*(1520)μ+μ- differential branching fraction by LHCb. At high q2, the results are consistent with our 2021 SM prediction using lattice QCD.

LHCb Collaboration, https://arxiv.org/abs/2302.082627 (Phys. Rev. Lett.)

BESIII fit of Lambda_c to Lambda form factors

2022/2023

High-precision measurements of the Λc→Λe+ν and Λc→Λμ+ν branching fractions and angular distributions by BESIII, and updated determination of the CKM matrix element |Vcs|. Form-factor shapes fitted to the data are in some tension with my 2016 lattice-QCD predictions.

BESIII Collaboration, https://arxiv.org/abs/2207.14149 (Phys. Rev. Lett.) and https://arxiv.org/abs/2306.02624 (Phys. Rev. D)

BESIII signal for Lambda_c to Lambda(1520) e nu

2022

First measurement of the Λc→Λ*(1520)e+ν branching fraction by BESIII. The result is consistent with our 2021 lattice-QCD prediction.

BESIII Collaboration, https://arxiv.org/abs/2207.11483 (Phys. Rev. D)

Lambda_b to Lambda_c tau mu analysis by LHCb

2022

First observation of the decay Λb→Λc τ- ν and first measurement of the lepton-flavor-universality ratio R(Λc) by LHCb. The central value of the measured R(Λc) is lower than the SM prediction using our 2015 form factors from lattice QCD, in contrast to the excesses seen in mesonic decays.

LHCb Collaboration, https://arxiv.org/abs/2201.03497 (Phys. Rev. Lett.)

Xi_b to Xi gamma decay topology

2021

First search for the rare decay Ξb-→Ξ-γ by LHCb.

LHCb Collaboration, https://arxiv.org/abs/2108.07678 (JHEP)

Lambda_c semileptonic decay rates calculated by LQCD

2021

First lattice-QCD calculation of the Λc→Λ*(1520) form factors.

S. Meinel, G. Rendon,
https://arxiv.org/abs/2107.13084 and https://arxiv.org/abs/2107.13140
(Phys. Rev. D)

Lambda_b to Lambda_c(2595) l nu A_FB calculated by LQCD

2021

First lattice-QCD calculation of the Λb→Λc*(2595) and Λb→Λc*(2625) form factors.

S. Meinel, G. Rendon, https://arxiv.org/abs/2103.08775 (Phys. Rev. D)

(updated in https://arxiv.org/abs/2107.13140)

Xi_c cross sections measured by ALICE

2021

ALICE measurement of the ratio of Ξc0→Ξ-e+ν and Ξc0→Ξ-π+ branching fractions. The semileptonic branching fraction obtained by multiplying the ratio with a Belle measurement of the Ξc0→Ξ-π+ branching fraction from 2018 is consistent with the Standard-Model prediction using lattice QCD by Zhang et al..

ALICE Collaboration, https://arxiv.org/abs/2105.05187 (Phys. Rev. Lett.)

Lattice QCD predictions for the Xi_c to Xi l nu diferential decay rates

2021

First lattice-QCD calculation of the Ξc→Ξ form factors. The resulting Standard-Model prediction for the Ξc0→Ξ-e+ν branching fraction is a factor 1.8 higher than the experimental value from Belle, but is still lower than expected from approximate SU(3) flavor-symmetry relations to Λc decay branching fractions.

Q.-A. Zhang et al., https://arxiv.org/abs/2103.07064 (Chin. Phys. C)

Belle fit of Xi^- e^+ mass distribution in one of the momentum regions

2021

Belle measurement of the ratios of Ξc0→Ξ-l+ν (l=e,μ) and Ξc0→Ξ-π+ branching fractions. The semileptonic branching fractions obtained by multiplying these ratios with a Belle measurement of the Ξc0→Ξ-π+ branching fraction from 2018 are much lower than expected from approximate SU(3) flavor-symmetry relations to Λc decay branching fractions.

Belle Collaboration, https://arxiv.org/abs/2103.06496 (Phys. Rev. Lett.)

One of the Lambda_b to Lambda(1520) form factors calculated by LQCD

2020

First lattice-QCD calculation of the Λb→Λ*(1520) form factors.

S. Meinel, G. Rendon, https://arxiv.org/abs/2009.09313 (Phys. Rev. D)

(updated in https://arxiv.org/abs/2107.13140)

Lambda_b to Lambda gamma invariant mass distribution measured by LHCb

2019

First observation of Λb→Λγ by LHCb.

LHCb Collaboration, https://arxiv.org/abs/1904.06697 (Phys. Rev. Lett.)

Lambda_b to Lambda mu mu angular moments measured by LHCb

2018

Measurement of the Λb→Λμ+μ- angular moments by LHCb. The SM predictions shown use our 2016 lattice-QCD results for the form factors.

LHCb Collaboration, https://arxiv.org/abs/1808.00264 (JHEP)

Lambda_b to p mu mu limit measured by LHCb

2017

Search for the rare decay Λc→pμ+μ- by LHCb.

LHCb Collaboration, https://arxiv.org/abs/1712.07938 (Phys. Rev. D)

Lambda_c to n e nu differential decay rate predicted by LQCD

2017

First lattice-QCD calculation of the Λc→N (N=p,n) form factors.

S. Meinel, https://arxiv.org/abs/1712.05783 (Phys. Rev. D)

Lambda_b to Lambda_c mu nu shape of differential BF measured by LHCb

2017

Measurement of the shape of the Λb→Λcμ-ν differential decay rate, confirming our 2015 lattice-QCD prediction.

LHCb Collaboration, https://arxiv.org/abs/1709.01920 (Phys. Rev. D)

Lambda_c to Lambda l nu differential decay rates predicted by LQCD

2016

First lattice-QCD calculation of the Λc→Λ form factors and first precise determination of the CKM matrix element |Vcs| from baryon decays.

S. Meinel, https://arxiv.org/abs/1611.09696 (Phys. Rev. Lett.)

BESIII signal for Lambda_c to Lambda mu nu

2016

First absolute measurement of the Λc→Λμ+ν branching fraction by BESIII.

BESIII Collaboration, https://arxiv.org/abs/1611.04382 (Phys. Lett. B)

Lambda_b to Lambda mu mu differential decay rate predicted by LQCD

2016

First lattice-QCD calculation of the Λb→Λ form factors with physical-mass b quarks.

W. Detmold, S. Meinel, https://arxiv.org/abs/1602.01399 (Phys. Rev. D)

BESIII signal for Lambda_c to Lambda e nu

2015

First absolute measurement of the Λc→Λe+ν branching fraction by BESIII.

BESIII Collaboration, https://arxiv.org/abs/1510.02610 (Phys. Rev. Lett.)

Constraints on Vub and right-handed coupling

2015

Determination of the ratio of CKM matrix elements |Vub/Vcb| from Λb→pμ-ν and Λb→Λcμ-ν decays by LHCb, using our lattice-QCD calculation of the form factors. This is the first determination of |Vub/Vcb| from baryon decays and the first at a hadron collider. The result disfavors right-handed couplings beyond the SM as an explanation of the exclusive-inclusive discrepancy in mesonic determinations of |Vub|.

LHCb Collaboration, https://arxiv.org/abs/1504.01568 (Nature Physics)

Lambda_b to Lambda mu mu differential BF measured by LHCb

2015

Measurement of the Λb→Λμ+μ- differential branching fraction and angular distribution by LHCb. The SM prediction shown uses our 2012 lattice-QCD results for the form factors.

LHCb Collaboration, https://arxiv.org/abs/1503.07138 (JHEP)

Lambda_b to p mu nu differential decay rate predicted by LQCD

2015

First lattice-QCD calculation of the Λb→p and Λb→Λc form factors with physical-mass b quarks, and Standard-Model prediction for the lepton-flavor-universality ratio R(Λc).

W. Detmold, C. Lehner, S. Meinel, https://arxiv.org/abs/1503.01421 (Phys. Rev. D)

Lambda_b to p mu nu differential decay rate predicted by LQCD

2013

First lattice-QCD calculation of the Λb→p form factors with static b quarks.

W. Detmold, C.-J. D. Lin, S. Meinel, M. Wingate, https://arxiv.org/abs/1306.0446 (Phys. Rev. D)

Lambda_b to Lambda mu mu differential decay rate predicted by LQCD

2012

First lattice-QCD calculation of the Λb→Λ form factors with static b quarks.

W. Detmold, C.-J. D. Lin, S. Meinel, M. Wingate, https://arxiv.org/abs/1212.4827 (Phys. Rev. D)

Lambda_b to Lambda mu mu signal from CDF

2011

First observation of the rare decay Λb→Λμ+μ- by CDF.

CDF Collaboration, https://arxiv.org/abs/1107.3753 (Phys. Rev. Lett.)